МАТЕРИАЛ ДЛЯ ПОВТОРЕНИЯ
Модуль числа
Модулем действительного числа а называют само это число, если а больше или равно нуля, и противоположное число, если а меньше нуля.|a|=a, если a≥0;
|a|= -a, если a<0.
Геометрически |a| означает расстояние на координатной прямой от точки, изображающей число а, до начала отсчета.
1. |a|≥0
2. |a|=|-a|
3. |a*b|=|a|*|b|
4.
|a:b|=|a|:|b|
5. |a+b|≤|a|+|b|
6. |a-b|≥|a|-|b|
Тригонометрические функции
За единицу измерения углов и дуг принимают соответственно угол в 1 градус и дугу в 1 градус.
Еще одна единица измерения величины угла - 1 радиан.
Углом в один радиан называется центральный угол, которому соответствует длина дуги, равная длине радиуса окружности.
Углом в один радиан называется центральный угол, которому соответствует длина дуги, равная длине радиуса окружности.
Примеры:
1. Вычислить градусную меру угла 5 рад.
2. Вычислить радианную меру угла в 50°.
Таблица значений тригонометрических функций углов
Значения sin и cos углов 0°, 30°, 45°,
60°, 90° можно узнать, пользуясь ладонью левой руки.
Введем нумерацию пальцев:
мизинец - 0, безымянный - 1,
средний - 2,
указательный - 3,
большой - 4.
Пример:
Найдем sin 60°:На ладони угол 60° соответствует указательному пальцу, т.е. n=3. Подставим n в формулу, получим:
Пример:
Найдем cos 60°:
На ладони угол 60° соответствует безымянному пальцу, т.е. n=1. Подставим n в формулу, получим:Формулы
sin2α + cos2α=1;
2. Выпишите числовые выражения, которые имеют смысл:
Решение:
3. Запишите в порядке возрастания числа:
Решение:
4. Найдите значение выражения:
а) 3∙cos 30° + 3∙sin 30°; б) 5∙sin 60°+5∙cos 60°.
Решение:
5. Вычислите:
Решение:
6. Запишите в радианах углы:
а) 15°; 128°; 60°; б) 57°; 340°; 45°.
Решение:
9. Вычислите (№ 1.4.42 [7]):
Решение:
10. Вычислите:
а)((sin 60°-cos60°)(cos60°+sin60°)cos30°)2;
б)
((sin 30°-cos30°)(cos30°+sin30°)sin45°)-2
Решение:
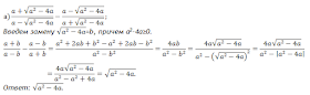
11. Докажите, что значение суммы является целым числом:
Решение:
12. Вычислите:
Решение:
ЗАДАНИЯ ДЛЯ САМОСТОЯТЕЛЬНОГО РЕШЕНИЯ
1.
Вычислите: sin220°+cos220°; tg17°×ctg17°
5. Найдите радианную меру угла: 65°; 16°.
7. Вычислите:
tg245°+ cos30°-sin230° + 0,75 : tg260°; 5tg30° + 2sin245° + ctg30°- tg45°.
tg245°+ cos30°-sin230° + 0,75 : tg260°; 5tg30° + 2sin245° + ctg30°- tg45°.
10. Докажите неравенство:




















